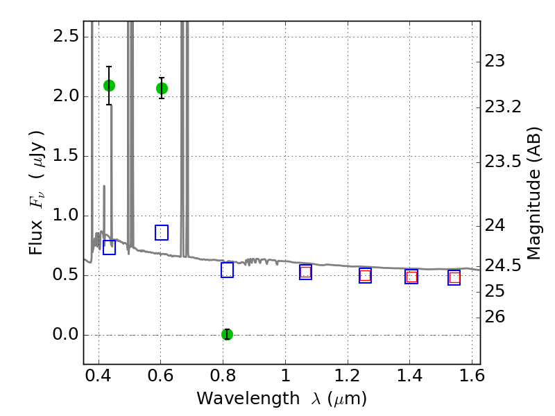
PLCKG171-40 ACS+IR detection object #1796

Color images and BPZ results
Catalog: 1796.cat
Black segments are analyzed here.   Roll mouse over color images to view segments.
Best viewed in a wide browser window (1200 pixels or more).   Download SED & P(z) plots to view larger versions.
In P(z) plots: Yellow lines mark the cluster redshift z = 0.270,  

Object #1796   x,y = (4273, 3222)   RA, Dec = (03:12:49.944, 08:23:04.20) = (48.20810, 8.38450)   BPZ = 0.017 [0.010--0.034]   type = 11.00 (SB11_A_0_l)   chisq2 = 255.80   ODDS = 1.00   z_cluster = 0.270