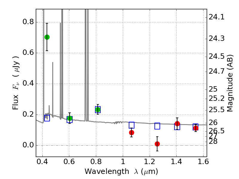
PLCKG171-40 ACS+IR detection object #1789

Color images and BPZ results
Catalog: 1789.cat
Black segments are analyzed here.   Roll mouse over color images to view segments.
Best viewed in a wide browser window (1200 pixels or more).   Download SED & P(z) plots to view larger versions.
In P(z) plots: Yellow lines mark the cluster redshift z = 0.270,  

Object #1789   x,y = (2494, 3150)   RA, Dec = (03:12:57.120, 08:22:59.88) = (48.23800, 8.38330)   BPZ = 0.103 [0.074--2.720]   type = 11.00 (SB11_A_0_l)   chisq2 = 10.29   ODDS = 0.31   z_cluster = 0.270