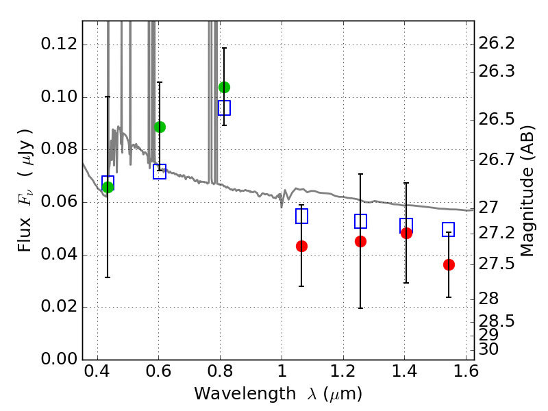
PLCKG171-40 ACS+IR detection object #1517

Color images and BPZ results
Catalog: 1517.cat
Black segments are analyzed here.   Roll mouse over color images to view segments.
Best viewed in a wide browser window (1200 pixels or more).   Download SED & P(z) plots to view larger versions.
In P(z) plots: Yellow lines mark the cluster redshift z = 0.270,  

Object #1517   x,y = (2922, 3133)   RA, Dec = (03:12:55.392, 08:22:58.80) = (48.23080, 8.38300)   BPZ = 0.172 [0.073--3.463]   type = 11.00 (SB11_A_0_l)   chisq2 = 0.66   ODDS = 0.37   z_cluster = 0.270