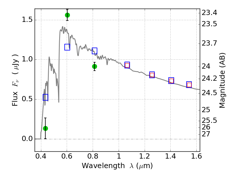
PLCKG171-40 ACS+IR detection object #1349

Color images and BPZ results
Catalog: 1349.cat
Black segments are analyzed here.   Roll mouse over color images to view segments.
Best viewed in a wide browser window (1200 pixels or more).   Download SED & P(z) plots to view larger versions.
In P(z) plots: Yellow lines mark the cluster redshift z = 0.270,  

Object #1349   x,y = (756, 3304)   RA, Dec = (03:13:04.152, 08:23:08.88) = (48.26730, 8.38580)   BPZ = 3.427 [0.030--3.602]   type = 11.00 (SB11_A_0_l)   chisq2 = 26.15   ODDS = 0.84   z_cluster = 0.270