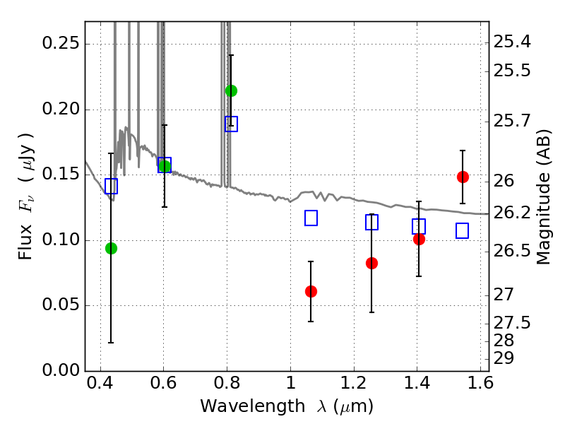
PLCKG171-40 ACS+IR detection object #1265

Color images and BPZ results
Catalog: 1265.cat
Black segments are analyzed here.   Roll mouse over color images to view segments.
Best viewed in a wide browser window (1200 pixels or more).   Download SED & P(z) plots to view larger versions.
In P(z) plots: Yellow lines mark the cluster redshift z = 0.270,  

Object #1265   x,y = (2505, 3288)   RA, Dec = (03:12:57.072, 08:23:08.16) = (48.23780, 8.38560)   BPZ = 0.203 [0.102--3.371]   type = 11.00 (SB11_A_0_l)   chisq2 = 2.35   ODDS = 0.21   z_cluster = 0.270