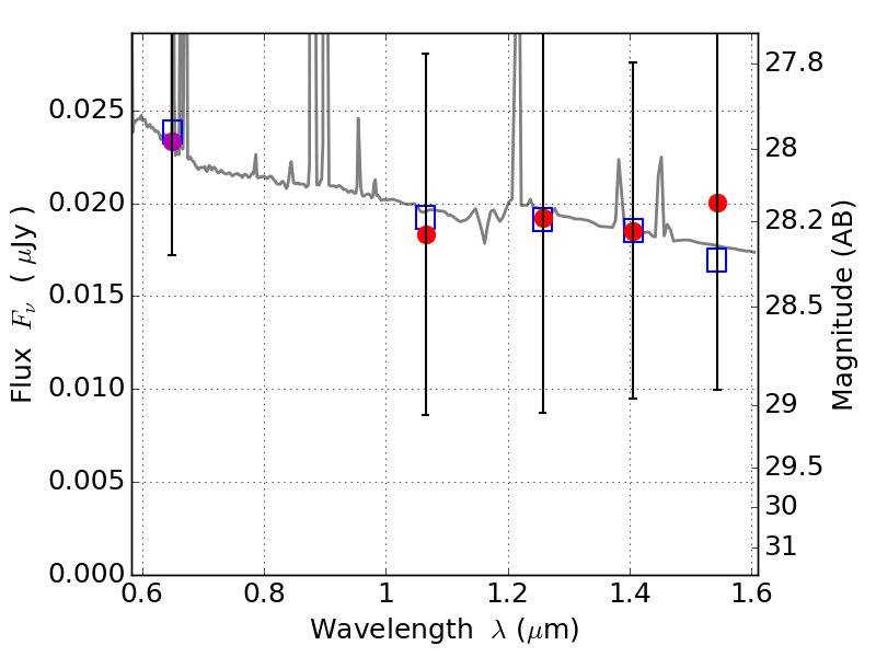
PLCKG171-40-PAR IR detection object #1247

Color images and BPZ results
Catalog: 1247.cat
Black segments are analyzed here.   Roll mouse over color images to view segments.
Best viewed in a wide browser window (1200 pixels or more).   Download SED & P(z) plots to view larger versions.
In P(z) plots: Yellow lines mark the cluster redshift z = 0.270,  

Object #1247   x,y = (1641, 2791)   RA, Dec = (03:12:42.120, 08:26:36.60) = (48.17550, 8.44350)   BPZ = 0.341 [0.172--3.867]   type = 10.80 (SB11_A_0_l - SB3_B10)   stellarity = 0.35   chisq2 = 0.05   ODDS = 0.04   z_cluster = 0.270