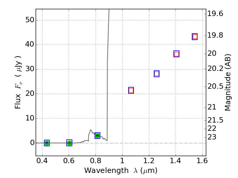
PLCKG138-10 ACS+IR detection object #6173
Color images and BPZ results
Catalog: 6173.cat
Black segments are analyzed here. Roll mouse over color images to view segments.
Best viewed in a wide browser window (1200 pixels or more). Download SED & P(z) plots to view larger versions.
In P(z) plots: Yellow lines mark the cluster redshift z = 0.702,
Object #6173 x,y = (1204, 700) RA, Dec = (02:27:14.112, 48:58:41.52) = (36.80880, 48.97820) BPZ = 6.296 [5.989--8.359] type = 6.00 (Sbc_B10) chisq2 = 0.00 ODDS = 0.49 z_cluster = 0.702