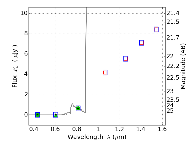
PLCKG138-10 ACS+IR detection object #6164

Color images and BPZ results
Catalog: 6164.cat
Black segments are analyzed here.   Roll mouse over color images to view segments.
Best viewed in a wide browser window (1200 pixels or more).   Download SED & P(z) plots to view larger versions.
In P(z) plots: Yellow lines mark the cluster redshift z = 0.702,  

Object #6164   x,y = (1180, 719)   RA, Dec = (02:27:14.256, 48:58:42.60) = (36.80940, 48.97850)   BPZ = 6.250 [5.834--8.878]   type = 6.00 (Sbc_B10)   chisq2 = 0.00   ODDS = 0.38   z_cluster = 0.702