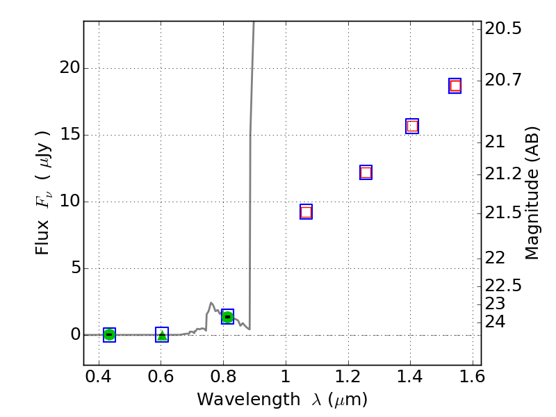
PLCKG138-10 ACS+IR detection object #5919

Color images and BPZ results
Catalog: 5919.cat
Black segments are analyzed here.   Roll mouse over color images to view segments.
Best viewed in a wide browser window (1200 pixels or more).   Download SED & P(z) plots to view larger versions.
In P(z) plots: Yellow lines mark the cluster redshift z = 0.702,  

Object #5919   x,y = (1159, 950)   RA, Dec = (02:27:14.376, 48:58:56.28) = (36.80990, 48.98230)   BPZ = 6.277 [5.908--8.716]   type = 6.00 (Sbc_B10)   chisq2 = 0.00   ODDS = 0.42   z_cluster = 0.702