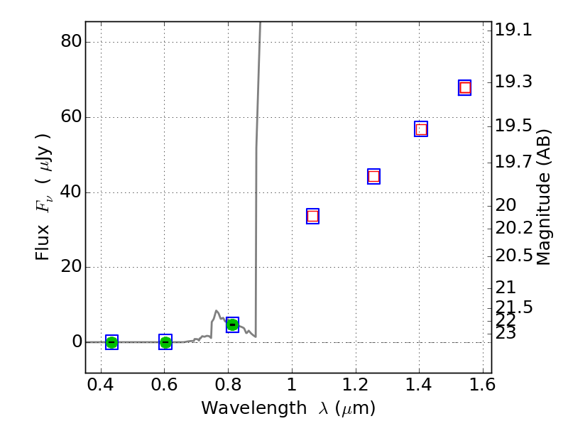
PLCKG138-10 ACS+IR detection object #5832
Color images and BPZ results
Catalog: 5832.cat
Black segments are analyzed here. Roll mouse over color images to view segments.
Best viewed in a wide browser window (1200 pixels or more). Download SED & P(z) plots to view larger versions.
In P(z) plots: Yellow lines mark the cluster redshift z = 0.702,
Object #5832 x,y = (1134, 999) RA, Dec = (02:27:14.520, 48:58:59.52) = (36.81050, 48.98320) BPZ = 6.301 [6.051--8.063] type = 6.00 (Sbc_B10) chisq2 = 0.00 ODDS = 0.55 z_cluster = 0.702