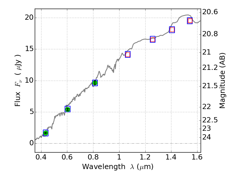
PLCKG138-10 ACS+IR detection object #5743

Color images and BPZ results
Catalog: 5743.cat
Black segments are analyzed here.   Roll mouse over color images to view segments.
Best viewed in a wide browser window (1200 pixels or more).   Download SED & P(z) plots to view larger versions.
In P(z) plots: Yellow lines mark the cluster redshift z = 0.702,  

Object #5743   x,y = (2257, 1059)   RA, Dec = (02:27:07.680, 48:59:03.12) = (36.78200, 48.98420)   BPZ = 0.121 [0.075--0.317]   type = 4.40 (Ell4_A_0 - ES0_B10)   chisq2 = 0.00   ODDS = 0.81   z_cluster = 0.702