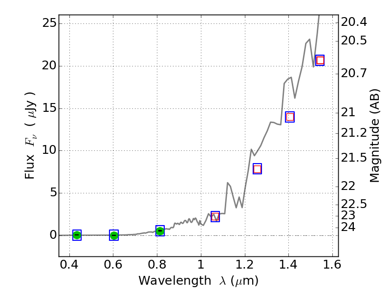
PLCKG138-10 ACS+IR detection object #5029
Color images and BPZ results
Catalog: 5029.cat
Black segments are analyzed here. Roll mouse over color images to view segments.
Best viewed in a wide browser window (1200 pixels or more). Download SED & P(z) plots to view larger versions.
In P(z) plots: Yellow lines mark the cluster redshift z = 0.702,
Object #5029 x,y = (4517, 1510) RA, Dec = (02:26:53.904, 48:59:30.12) = (36.72460, 48.99170) BPZ = 3.232 [2.466--8.933] type = 4.00 (Ell4_A_0) chisq2 = 0.00 ODDS = 0.17 z_cluster = 0.702