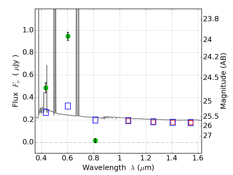
PLCKG138-10 ACS+IR detection object #4687
Color images and BPZ results
Catalog: 4687.cat
Black segments are analyzed here. Roll mouse over color images to view segments.
Best viewed in a wide browser window (1200 pixels or more). Download SED & P(z) plots to view larger versions.
In P(z) plots: Yellow lines mark the cluster redshift z = 0.702,
Object #4687 x,y = (4535, 1700) RA, Dec = (02:26:53.784, 48:59:41.28) = (36.72410, 48.99480) BPZ = 0.019 [0.010--0.033] type = 11.00 (SB11_A_0_l) chisq2 = 330.30 ODDS = 1.00 z_cluster = 0.702