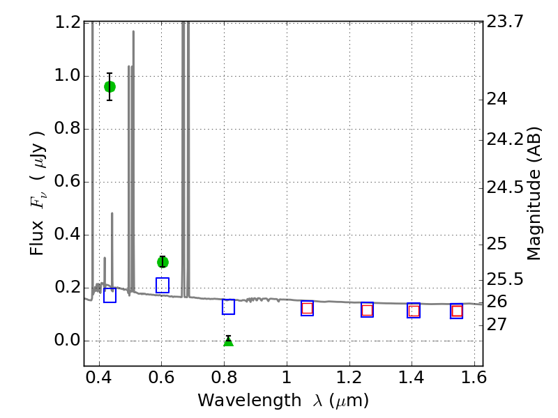
PLCKG138-10 ACS+IR detection object #4650

Color images and BPZ results
Catalog: 4650.cat
Black segments are analyzed here.   Roll mouse over color images to view segments.
Best viewed in a wide browser window (1200 pixels or more).   Download SED & P(z) plots to view larger versions.
In P(z) plots: Yellow lines mark the cluster redshift z = 0.702,  

Object #4650   x,y = (4526, 1721)   RA, Dec = (02:26:53.856, 48:59:42.72) = (36.72440, 48.99520)   BPZ = 0.020 [0.010--1.994]   type = 11.00 (SB11_A_0_l)   chisq2 = 288.30   ODDS = 0.49   z_cluster = 0.702