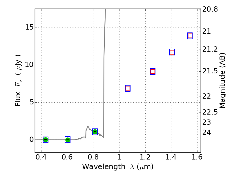
PLCKG138-10 ACS+IR detection object #4421
Color images and BPZ results
Catalog: 4421.cat
Black segments are analyzed here. Roll mouse over color images to view segments.
Best viewed in a wide browser window (1200 pixels or more). Download SED & P(z) plots to view larger versions.
In P(z) plots: Yellow lines mark the cluster redshift z = 0.702,
Object #4421 x,y = (886, 1846) RA, Dec = (02:27:16.032, 48:59:50.28) = (36.81680, 48.99730) BPZ = 6.253 [5.894--8.831] type = 6.00 (Sbc_B10) chisq2 = 0.00 ODDS = 0.43 z_cluster = 0.702