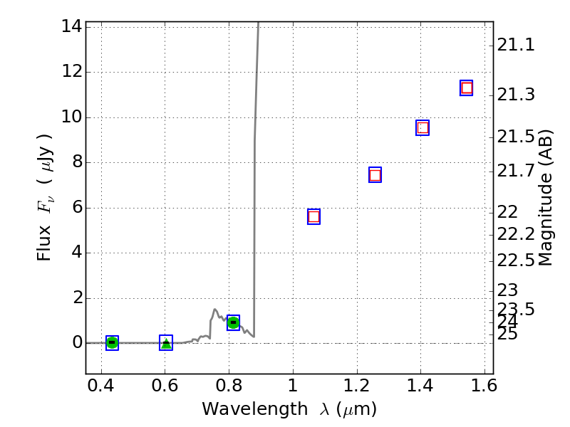
PLCKG138-10 ACS+IR detection object #4416

Color images and BPZ results
Catalog: 4416.cat
Black segments are analyzed here.   Roll mouse over color images to view segments.
Best viewed in a wide browser window (1200 pixels or more).   Download SED & P(z) plots to view larger versions.
In P(z) plots: Yellow lines mark the cluster redshift z = 0.702,  

Object #4416   x,y = (860, 1851)   RA, Dec = (02:27:16.200, 48:59:50.64) = (36.81750, 48.99740)   BPZ = 6.234 [5.827--8.791]   type = 6.00 (Sbc_B10)   chisq2 = 0.00   ODDS = 0.40   z_cluster = 0.702