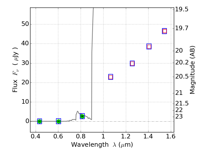
PLCKG138-10 ACS+IR detection object #4215

Color images and BPZ results
Catalog: 4215.cat
Black segments are analyzed here.   Roll mouse over color images to view segments.
Best viewed in a wide browser window (1200 pixels or more).   Download SED & P(z) plots to view larger versions.
In P(z) plots: Yellow lines mark the cluster redshift z = 0.702,  

Object #4215   x,y = (865, 1969)   RA, Dec = (02:27:16.176, 48:59:57.48) = (36.81740, 48.99930)   BPZ = 6.385 [6.049--8.436]   type = 6.00 (Sbc_B10)   chisq2 = 0.00   ODDS = 0.51   z_cluster = 0.702