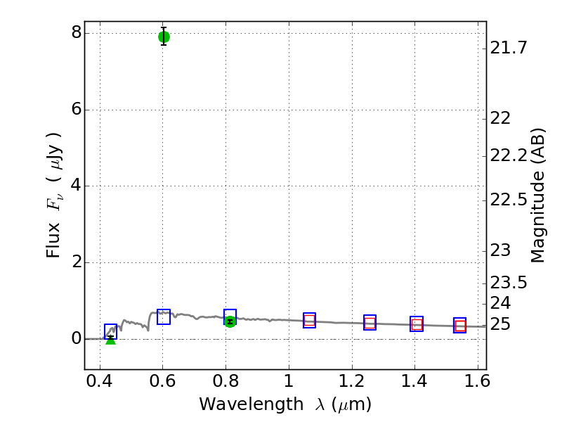
PLCKG138-10 ACS+IR detection object #4213

Color images and BPZ results
Catalog: 4213.cat
Black segments are analyzed here.   Roll mouse over color images to view segments.
Best viewed in a wide browser window (1200 pixels or more).   Download SED & P(z) plots to view larger versions.
In P(z) plots: Yellow lines mark the cluster redshift z = 0.702,  

Object #4213   x,y = (838, 1955)   RA, Dec = (02:27:16.344, 48:59:56.76) = (36.81810, 48.99910)   BPZ = 3.574 [3.328--3.685]   type = 11.00 (SB11_A_0_l)   chisq2 = 974.60   ODDS = 0.92   z_cluster = 0.702