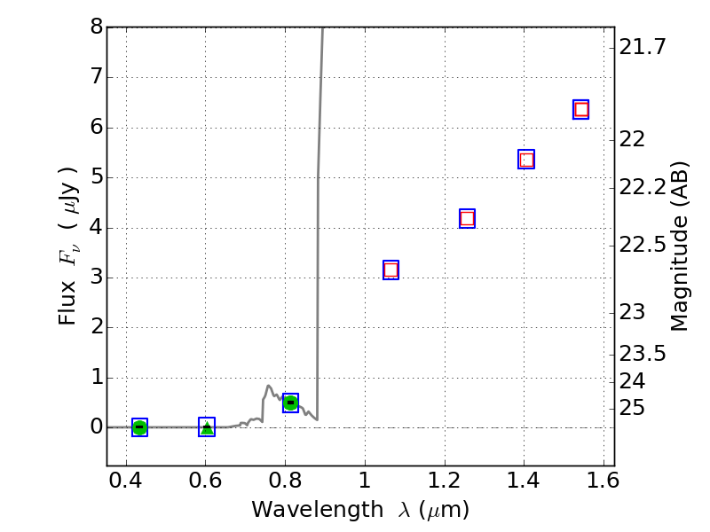
PLCKG138-10 ACS+IR detection object #4093

Color images and BPZ results
Catalog: 4093.cat
Black segments are analyzed here.   Roll mouse over color images to view segments.
Best viewed in a wide browser window (1200 pixels or more).   Download SED & P(z) plots to view larger versions.
In P(z) plots: Yellow lines mark the cluster redshift z = 0.702,  

Object #4093   x,y = (856, 2076)   RA, Dec = (02:27:16.224, 49:00:03.96) = (36.81760, 49.00110)   BPZ = 6.250 [5.832--8.959]   type = 6.00 (Sbc_B10)   chisq2 = 0.00   ODDS = 0.37   z_cluster = 0.702