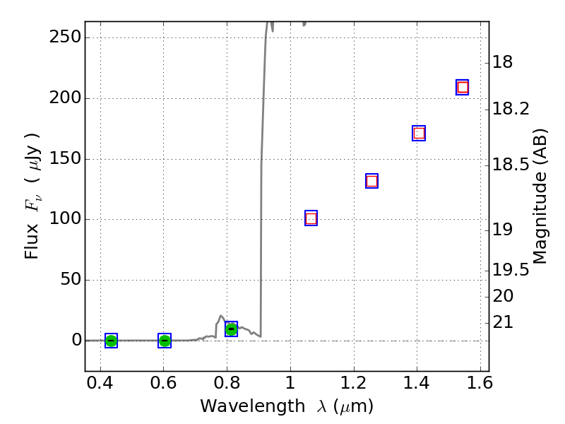
PLCKG138-10 ACS+IR detection object #3901
Color images and BPZ results
Catalog: 3901.cat
Black segments are analyzed here. Roll mouse over color images to view segments.
Best viewed in a wide browser window (1200 pixels or more). Download SED & P(z) plots to view larger versions.
In P(z) plots: Yellow lines mark the cluster redshift z = 0.702,
Object #3901 x,y = (801, 2157) RA, Dec = (02:27:16.560, 49:00:09.00) = (36.81900, 49.00250) BPZ = 6.474 [6.278--7.816] type = 6.00 (Sbc_B10) chisq2 = 0.00 ODDS = 0.67 z_cluster = 0.702