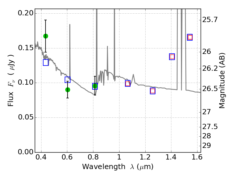
PLCKG138-10 ACS+IR detection object #3817

Color images and BPZ results
Catalog: 3817.cat
Black segments are analyzed here.   Roll mouse over color images to view segments.
Best viewed in a wide browser window (1200 pixels or more).   Download SED & P(z) plots to view larger versions.
In P(z) plots: Yellow lines mark the cluster redshift z = 0.702,  

Object #3817   x,y = (746, 2274)   RA, Dec = (02:27:16.896, 49:00:15.84) = (36.82040, 49.00440)   BPZ = 1.220 [0.850--2.477]   type = 11.00 (SB11_A_0_l)   chisq2 = 2.92   ODDS = 0.16   z_cluster = 0.702