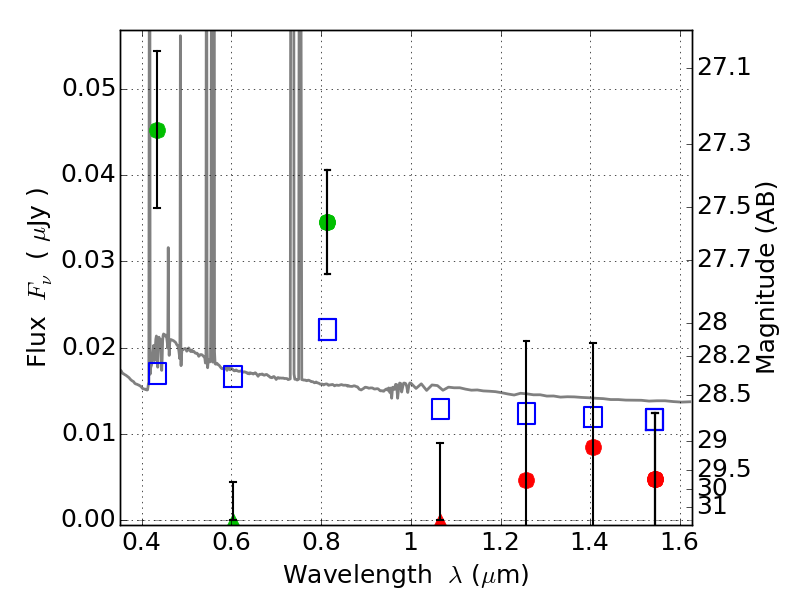
PLCKG138-10 ACS+IR detection object #3718

Color images and BPZ results
Catalog: 3718.cat
Black segments are analyzed here.   Roll mouse over color images to view segments.
Best viewed in a wide browser window (1200 pixels or more).   Download SED & P(z) plots to view larger versions.
In P(z) plots: Yellow lines mark the cluster redshift z = 0.702,  

Object #3718   x,y = (3110, 2251)   RA, Dec = (02:27:02.472, 49:00:14.40) = (36.76030, 49.00400)   BPZ = 0.118 [0.087--2.444]   type = 11.00 (SB11_A_0_l)   chisq2 = 5.03   ODDS = 0.56   z_cluster = 0.702