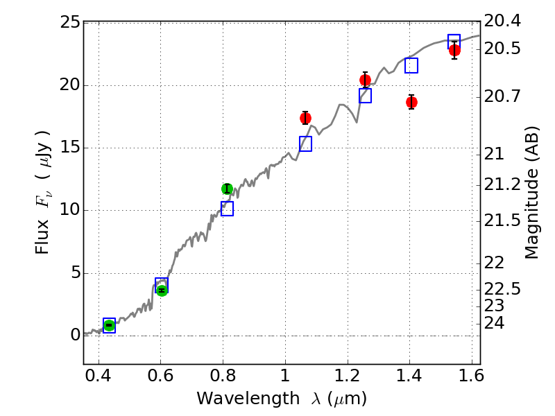
PLCKG138-10 ACS+IR detection object #3660
Color images and BPZ results
Catalog: 3660.cat
Black segments are analyzed here. Roll mouse over color images to view segments.
Best viewed in a wide browser window (1200 pixels or more). Download SED & P(z) plots to view larger versions.
In P(z) plots: Yellow lines mark the cluster redshift z = 0.702,
Object #3660 x,y = (1470, 2248) RA, Dec = (02:27:12.480, 49:00:14.40) = (36.80200, 49.00400) BPZ = 0.439 [0.392--0.464] type = 4.00 (Ell4_A_0) chisq2 = 1.12 ODDS = 0.98 z_cluster = 0.702