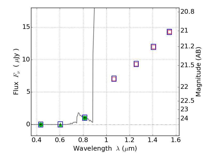
PLCKG138-10 ACS+IR detection object #3614

Color images and BPZ results
Catalog: 3614.cat
Black segments are analyzed here.   Roll mouse over color images to view segments.
Best viewed in a wide browser window (1200 pixels or more).   Download SED & P(z) plots to view larger versions.
In P(z) plots: Yellow lines mark the cluster redshift z = 0.702,  

Object #3614   x,y = (4359, 2305)   RA, Dec = (02:26:54.864, 49:00:17.64) = (36.72860, 49.00490)   BPZ = 6.274 [5.888--8.736]   type = 6.00 (Sbc_B10)   chisq2 = 0.00   ODDS = 0.41   z_cluster = 0.702