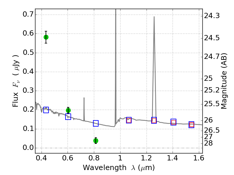
PLCKG138-10 ACS+IR detection object #3595

Color images and BPZ results
Catalog: 3595.cat
Black segments are analyzed here.   Roll mouse over color images to view segments.
Best viewed in a wide browser window (1200 pixels or more).   Download SED & P(z) plots to view larger versions.
In P(z) plots: Yellow lines mark the cluster redshift z = 0.702,  

Object #3595   x,y = (800, 2316)   RA, Dec = (02:27:16.560, 49:00:18.36) = (36.81900, 49.00510)   BPZ = 1.593 [1.476--2.060]   type = 11.00 (SB11_A_0_l)   chisq2 = 171.20   ODDS = 0.63   z_cluster = 0.702