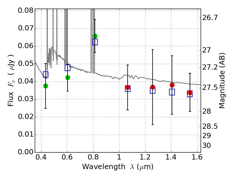
PLCKG138-10 ACS+IR detection object #3566

Color images and BPZ results
Catalog: 3566.cat
Black segments are analyzed here.   Roll mouse over color images to view segments.
Best viewed in a wide browser window (1200 pixels or more).   Download SED & P(z) plots to view larger versions.
In P(z) plots: Yellow lines mark the cluster redshift z = 0.702,  

Object #3566   x,y = (1492, 2327)   RA, Dec = (02:27:12.360, 49:00:19.08) = (36.80150, 49.00530)   BPZ = 0.202 [0.095--3.402]   type = 11.00 (SB11_A_0_l)   chisq2 = 0.14   ODDS = 0.38   z_cluster = 0.702