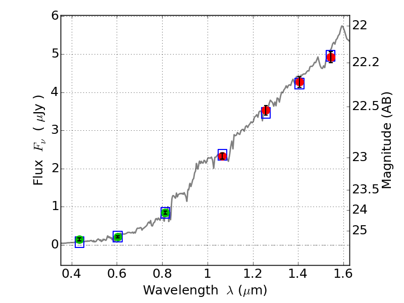
PLCKG138-10 ACS+IR detection object #3297

Color images and BPZ results
Catalog: 3297.cat
Black segments are analyzed here.   Roll mouse over color images to view segments.
Best viewed in a wide browser window (1200 pixels or more).   Download SED & P(z) plots to view larger versions.
In P(z) plots: Yellow lines mark the cluster redshift z = 0.702,  

Object #3297   x,y = (1959, 2570)   RA, Dec = (02:27:09.504, 49:00:33.48) = (36.78960, 49.00930)   BPZ = 1.106 [1.025--1.183]   type = 5.40 (ES0_B10 - Sbc_B10)   chisq2 = 0.02   ODDS = 0.96   z_cluster = 0.702