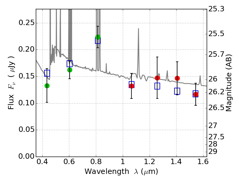
PLCKG138-10 ACS+IR detection object #2847

Color images and BPZ results
Catalog: 2847.cat
Black segments are analyzed here.   Roll mouse over color images to view segments.
Best viewed in a wide browser window (1200 pixels or more).   Download SED & P(z) plots to view larger versions.
In P(z) plots: Yellow lines mark the cluster redshift z = 0.702,  

Object #2847   x,y = (2474, 2713)   RA, Dec = (02:27:06.360, 49:00:42.12) = (36.77650, 49.01170)   BPZ = 0.232 [0.099--0.338]   type = 10.90 (SB11_A_0_l - SB3_B10)   chisq2 = 0.22   ODDS = 0.54   z_cluster = 0.702