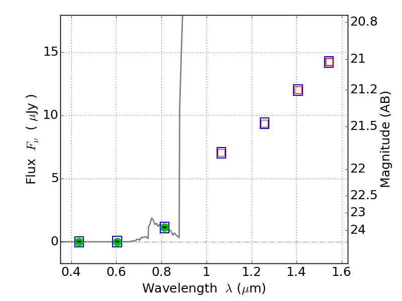
PLCKG138-10 ACS+IR detection object #2698
Color images and BPZ results
Catalog: 2698.cat
Black segments are analyzed here. Roll mouse over color images to view segments.
Best viewed in a wide browser window (1200 pixels or more). Download SED & P(z) plots to view larger versions.
In P(z) plots: Yellow lines mark the cluster redshift z = 0.702,
Object #2698 x,y = (633, 2786) RA, Dec = (02:27:17.592, 49:00:46.44) = (36.82330, 49.01290) BPZ = 6.236 [5.864--8.718] type = 6.00 (Sbc_B10) chisq2 = 0.00 ODDS = 0.43 z_cluster = 0.702