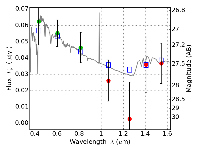
PLCKG138-10 ACS+IR detection object #2650

Color images and BPZ results
Catalog: 2650.cat
Black segments are analyzed here.   Roll mouse over color images to view segments.
Best viewed in a wide browser window (1200 pixels or more).   Download SED & P(z) plots to view larger versions.
In P(z) plots: Yellow lines mark the cluster redshift z = 0.702,  

Object #2650   x,y = (2849, 2794)   RA, Dec = (02:27:04.080, 49:00:47.16) = (36.76700, 49.01310)   BPZ = 2.512 [0.238--3.129]   type = 11.00 (SB11_A_0_l)   chisq2 = 0.37   ODDS = 0.32   z_cluster = 0.702