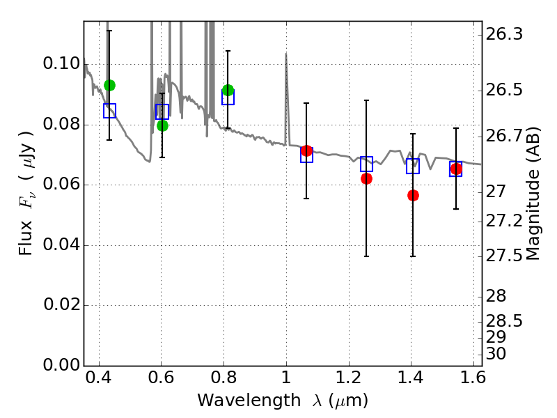
PLCKG138-10 ACS+IR detection object #2520

Color images and BPZ results
Catalog: 2520.cat
Black segments are analyzed here.   Roll mouse over color images to view segments.
Best viewed in a wide browser window (1200 pixels or more).   Download SED & P(z) plots to view larger versions.
In P(z) plots: Yellow lines mark the cluster redshift z = 0.702,  

Object #2520   x,y = (2256, 2995)   RA, Dec = (02:27:07.704, 49:00:59.04) = (36.78210, 49.01640)   BPZ = 0.531 [0.148--3.116]   type = 11.00 (SB11_A_0_l)   chisq2 = 0.09   ODDS = 0.12   z_cluster = 0.702