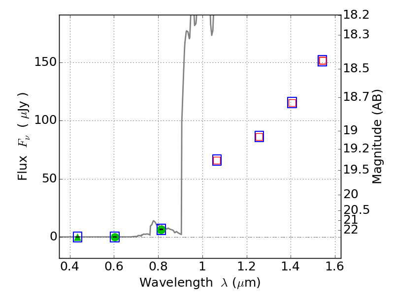
PLCKG138-10 ACS+IR detection object #243

Color images and BPZ results
Catalog: 243.cat
Black segments are analyzed here.   Roll mouse over color images to view segments.
Best viewed in a wide browser window (1200 pixels or more).   Download SED & P(z) plots to view larger versions.
In P(z) plots: Yellow lines mark the cluster redshift z = 0.702,  

Object #243   x,y = (3930, 4122)   RA, Dec = (02:26:57.480, 49:02:06.72) = (36.73950, 49.03520)   BPZ = 6.450 [6.223--7.956]   type = 5.50 (Sbc_B10 - ES0_B10)   chisq2 = 0.00   ODDS = 0.66   z_cluster = 0.702