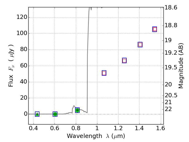
PLCKG138-10 ACS+IR detection object #2277
Color images and BPZ results
Catalog: 2277.cat
Black segments are analyzed here. Roll mouse over color images to view segments.
Best viewed in a wide browser window (1200 pixels or more). Download SED & P(z) plots to view larger versions.
In P(z) plots: Yellow lines mark the cluster redshift z = 0.702,
Object #2277 x,y = (573, 3031) RA, Dec = (02:27:17.952, 49:01:01.20) = (36.82480, 49.01700) BPZ = 6.470 [6.196--8.212] type = 6.00 (Sbc_B10) chisq2 = 0.00 ODDS = 0.56 z_cluster = 0.702