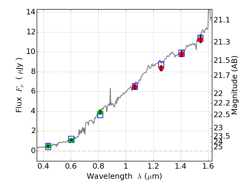
PLCKG138-10 ACS+IR detection object #2261

Color images and BPZ results
Catalog: 2261.cat
Black segments are analyzed here.   Roll mouse over color images to view segments.
Best viewed in a wide browser window (1200 pixels or more).   Download SED & P(z) plots to view larger versions.
In P(z) plots: Yellow lines mark the cluster redshift z = 0.702,  

Object #2261   x,y = (2656, 3029)   RA, Dec = (02:27:05.256, 49:01:01.20) = (36.77190, 49.01700)   BPZ = 0.774 [0.546--0.840]   type = 6.10 (Sbc_B10 - Scd_B10)   chisq2 = 0.07   ODDS = 0.65   z_cluster = 0.702