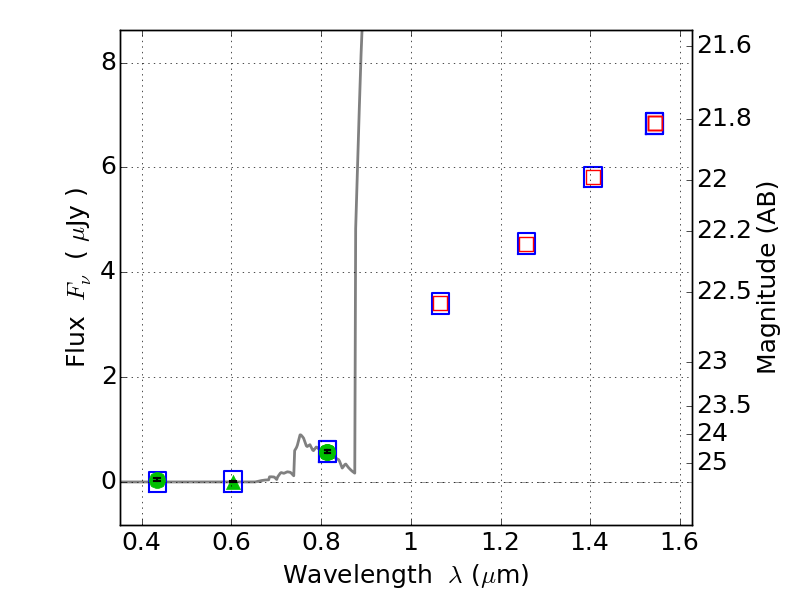
PLCKG138-10 ACS+IR detection object #2098

Color images and BPZ results
Catalog: 2098.cat
Black segments are analyzed here.   Roll mouse over color images to view segments.
Best viewed in a wide browser window (1200 pixels or more).   Download SED & P(z) plots to view larger versions.
In P(z) plots: Yellow lines mark the cluster redshift z = 0.702,  

Object #2098   x,y = (4173, 3111)   RA, Dec = (02:26:55.992, 49:01:06.24) = (36.73330, 49.01840)   BPZ = 6.211 [5.733--8.988]   type = 6.00 (Sbc_B10)   chisq2 = 0.01   ODDS = 0.37   z_cluster = 0.702