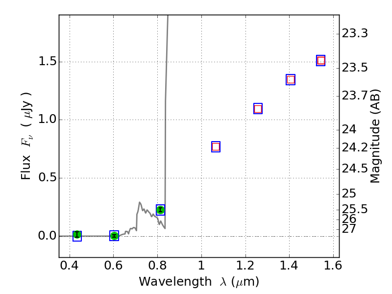
PLCKG138-10 ACS+IR detection object #2056

Color images and BPZ results
Catalog: 2056.cat
Black segments are analyzed here.   Roll mouse over color images to view segments.
Best viewed in a wide browser window (1200 pixels or more).   Download SED & P(z) plots to view larger versions.
In P(z) plots: Yellow lines mark the cluster redshift z = 0.702,  

Object #2056   x,y = (4174, 3138)   RA, Dec = (02:26:55.992, 49:01:07.68) = (36.73330, 49.01880)   BPZ = 5.877 [1.389--8.654]   type = 6.00 (Sbc_B10)   chisq2 = 0.02   ODDS = 0.18   z_cluster = 0.702