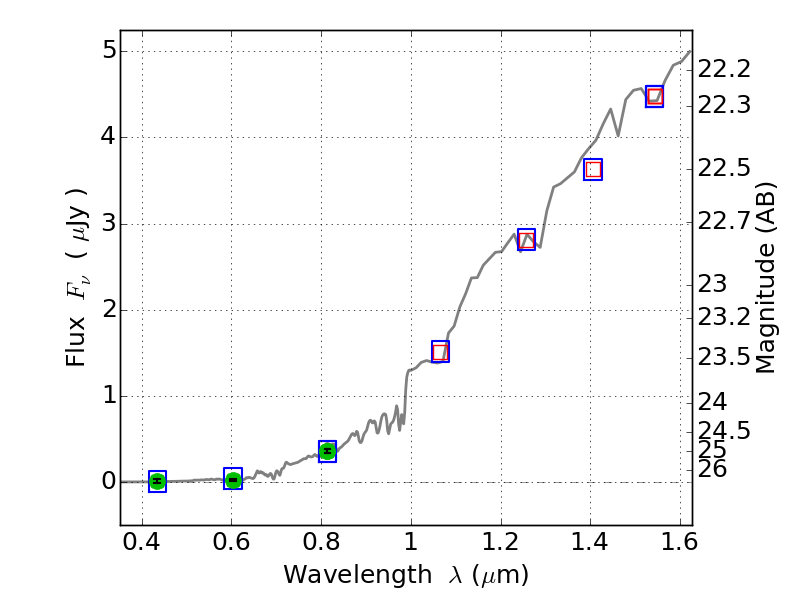
PLCKG138-10 ACS+IR detection object #1927

Color images and BPZ results
Catalog: 1927.cat
Black segments are analyzed here.   Roll mouse over color images to view segments.
Best viewed in a wide browser window (1200 pixels or more).   Download SED & P(z) plots to view larger versions.
In P(z) plots: Yellow lines mark the cluster redshift z = 0.702,  

Object #1927   x,y = (4114, 3332)   RA, Dec = (02:26:56.352, 49:01:19.20) = (36.73480, 49.02200)   BPZ = 1.476 [1.308--6.117]   type = 2.00 (Ell6_A_0)   chisq2 = 0.00   ODDS = 0.13   z_cluster = 0.702