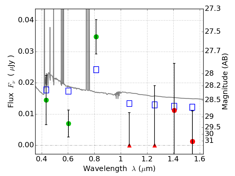
PLCKG138-10 ACS+IR detection object #1852
Color images and BPZ results
Catalog: 1852.cat
Black segments are analyzed here. Roll mouse over color images to view segments.
Best viewed in a wide browser window (1200 pixels or more). Download SED & P(z) plots to view larger versions.
In P(z) plots: Yellow lines mark the cluster redshift z = 0.702,
Object #1852 x,y = (3244, 3225) RA, Dec = (02:27:01.656, 49:01:13.08) = (36.75690, 49.02030) BPZ = 0.134 [0.093--4.825] type = 11.00 (SB11_A_0_l) chisq2 = 2.52 ODDS = 0.43 z_cluster = 0.702