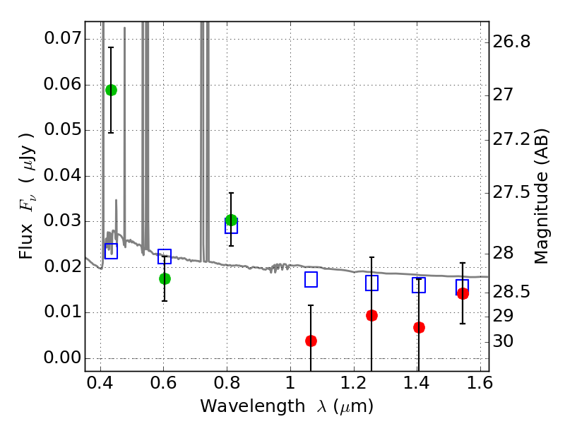
PLCKG138-10 ACS+IR detection object #1843
Color images and BPZ results
Catalog: 1843.cat
Black segments are analyzed here. Roll mouse over color images to view segments.
Best viewed in a wide browser window (1200 pixels or more). Download SED & P(z) plots to view larger versions.
In P(z) plots: Yellow lines mark the cluster redshift z = 0.702,
Object #1843 x,y = (2462, 3228) RA, Dec = (02:27:06.432, 49:01:13.08) = (36.77680, 49.02030) BPZ = 0.105 [0.082--2.678] type = 11.00 (SB11_A_0_l) chisq2 = 2.64 ODDS = 0.27 z_cluster = 0.702