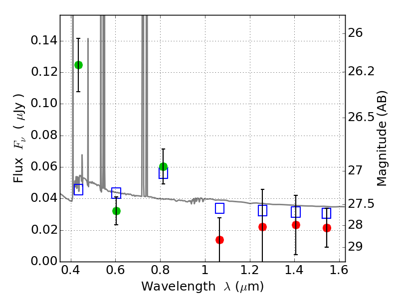
PLCKG138-10 ACS+IR detection object #1825

Color images and BPZ results
Catalog: 1825.cat
Black segments are analyzed here.   Roll mouse over color images to view segments.
Best viewed in a wide browser window (1200 pixels or more).   Download SED & P(z) plots to view larger versions.
In P(z) plots: Yellow lines mark the cluster redshift z = 0.702,  

Object #1825   x,y = (2022, 3235)   RA, Dec = (02:27:09.120, 49:01:13.44) = (36.78800, 49.02040)   BPZ = 0.102 [0.080--2.461]   type = 11.00 (SB11_A_0_l)   chisq2 = 3.74   ODDS = 0.41   z_cluster = 0.702