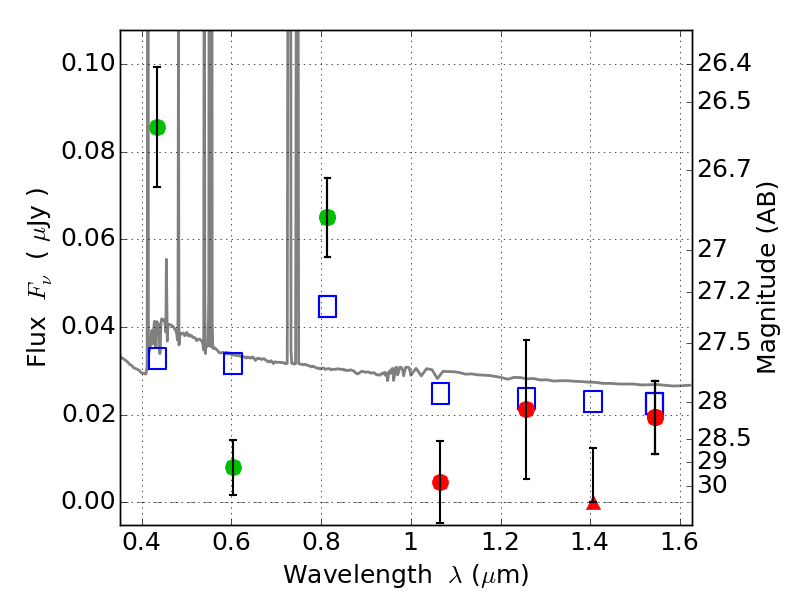
PLCKG138-10 ACS+IR detection object #1669

Color images and BPZ results
Catalog: 1669.cat
Black segments are analyzed here.   Roll mouse over color images to view segments.
Best viewed in a wide browser window (1200 pixels or more).   Download SED & P(z) plots to view larger versions.
In P(z) plots: Yellow lines mark the cluster redshift z = 0.702,  

Object #1669   x,y = (2206, 3307)   RA, Dec = (02:27:07.992, 49:01:17.76) = (36.78330, 49.02160)   BPZ = 0.114 [0.087--0.233]   type = 11.00 (SB11_A_0_l)   chisq2 = 6.12   ODDS = 0.78   z_cluster = 0.702