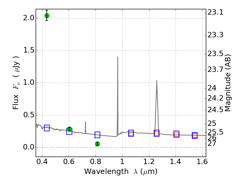
PLCKG138-10 ACS+IR detection object #1611

Color images and BPZ results
Catalog: 1611.cat
Black segments are analyzed here.   Roll mouse over color images to view segments.
Best viewed in a wide browser window (1200 pixels or more).   Download SED & P(z) plots to view larger versions.
In P(z) plots: Yellow lines mark the cluster redshift z = 0.702,  

Object #1611   x,y = (383, 3583)   RA, Dec = (02:27:19.128, 49:01:34.32) = (36.82970, 49.02620)   BPZ = 1.593 [1.473--2.058]   type = 11.00 (SB11_A_0_l)   chisq2 = 502.60   ODDS = 0.64   z_cluster = 0.702