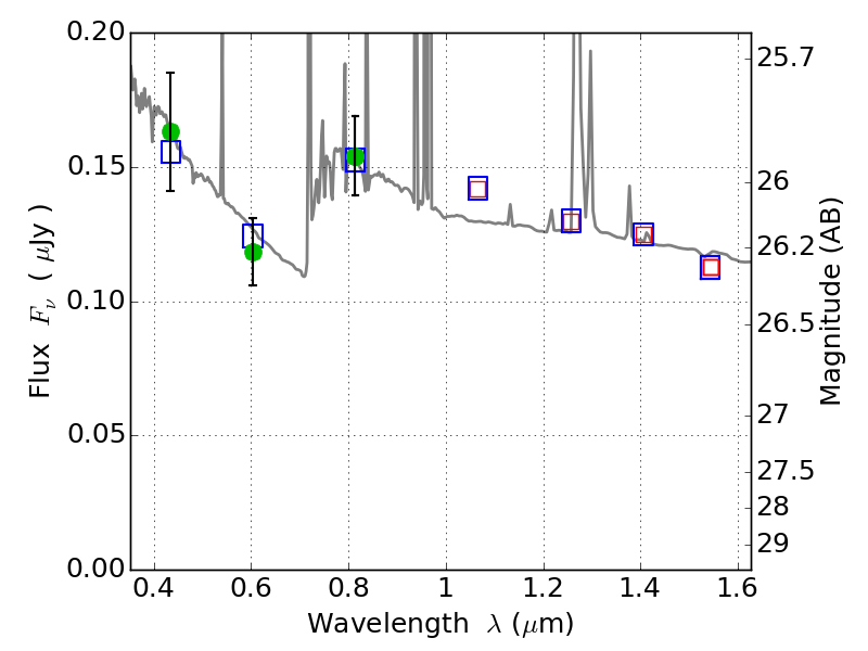
PLCKG138-10 ACS+IR detection object #1560
Color images and BPZ results
Catalog: 1560.cat
Black segments are analyzed here. Roll mouse over color images to view segments.
Best viewed in a wide browser window (1200 pixels or more). Download SED & P(z) plots to view larger versions.
In P(z) plots: Yellow lines mark the cluster redshift z = 0.702,
Object #1560 x,y = (971, 3374) RA, Dec = (02:27:15.528, 49:01:22.08) = (36.81470, 49.02280) BPZ = 0.930 [0.443--2.250] type = 10.80 (SB11_A_0_l - SB3_B10) chisq2 = 0.24 ODDS = 0.24 z_cluster = 0.702