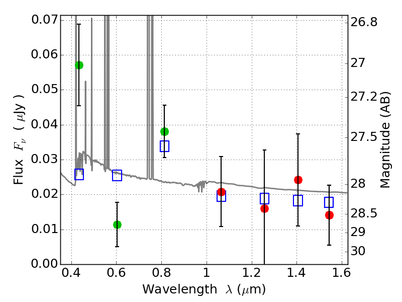
PLCKG138-10 ACS+IR detection object #1506

Color images and BPZ results
Catalog: 1506.cat
Black segments are analyzed here.   Roll mouse over color images to view segments.
Best viewed in a wide browser window (1200 pixels or more).   Download SED & P(z) plots to view larger versions.
In P(z) plots: Yellow lines mark the cluster redshift z = 0.702,  

Object #1506   x,y = (2581, 3399)   RA, Dec = (02:27:05.712, 49:01:23.52) = (36.77380, 49.02320)   BPZ = 0.131 [0.090--2.173]   type = 11.00 (SB11_A_0_l)   chisq2 = 1.81   ODDS = 0.27   z_cluster = 0.702