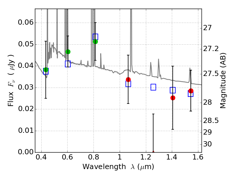
PLCKG138-10 ACS+IR detection object #1158

Color images and BPZ results
Catalog: 1158.cat
Black segments are analyzed here.   Roll mouse over color images to view segments.
Best viewed in a wide browser window (1200 pixels or more).   Download SED & P(z) plots to view larger versions.
In P(z) plots: Yellow lines mark the cluster redshift z = 0.702,  

Object #1158   x,y = (2094, 3604)   RA, Dec = (02:27:08.688, 49:01:35.76) = (36.78620, 49.02660)   BPZ = 0.196 [0.078--3.478]   type = 10.80 (SB11_A_0_l - SB3_B10)   chisq2 = 0.51   ODDS = 0.23   z_cluster = 0.702