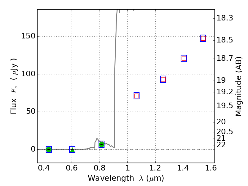
PLCKG138-10 ACS+IR detection object #5835

Color images and BPZ results
Catalog: 5835.cat
Black segments are analyzed here.   Roll mouse over color images to view segments.
Best viewed in a wide browser window (1200 pixels or more).   Download SED & P(z) plots to view larger versions.
In P(z) plots: Yellow lines mark the cluster redshift z = 0.702,  

Object #5835   x,y = (1113, 991)   RA, Dec = (02:27:14.664, 48:58:58.80) = (36.81110, 48.98300)   BPZ = 6.469 [6.198--7.996]   type = 6.00 (Sbc_B10)   chisq2 = 0.00   ODDS = 0.60   z_cluster = 0.702