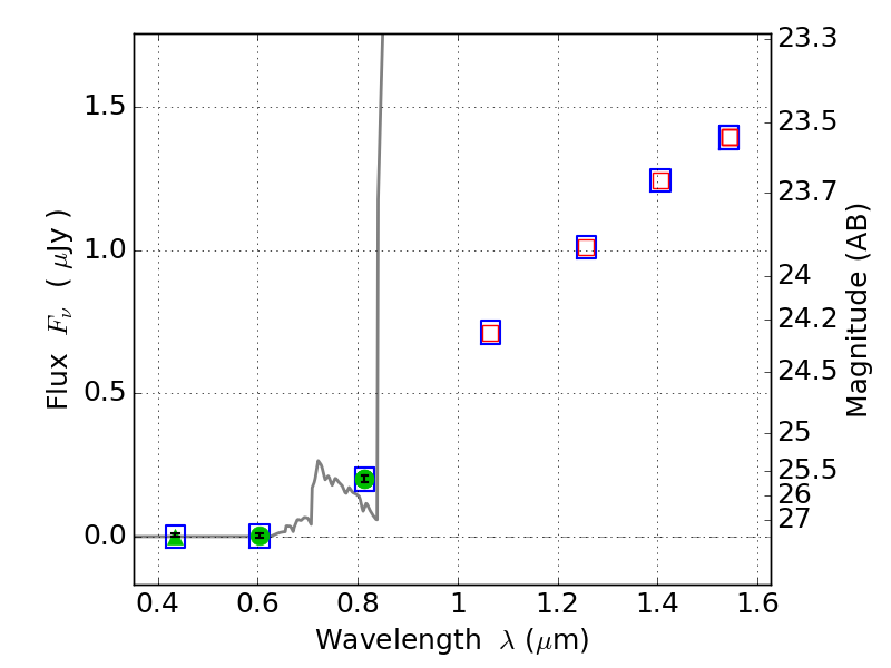
PLCKG138-10 ACS+IR detection object #3954

Color images and BPZ results
Catalog: 3954.cat
Black segments are analyzed here.   Roll mouse over color images to view segments.
Best viewed in a wide browser window (1200 pixels or more).   Download SED & P(z) plots to view larger versions.
In P(z) plots: Yellow lines mark the cluster redshift z = 0.702,  

Object #3954   x,y = (3998, 2122)   RA, Dec = (02:26:57.072, 49:00:06.84) = (36.73780, 49.00190)   BPZ = 5.901 [2.711--8.908]   type = 6.00 (Sbc_B10)   chisq2 = 0.00   ODDS = 0.29   z_cluster = 0.702