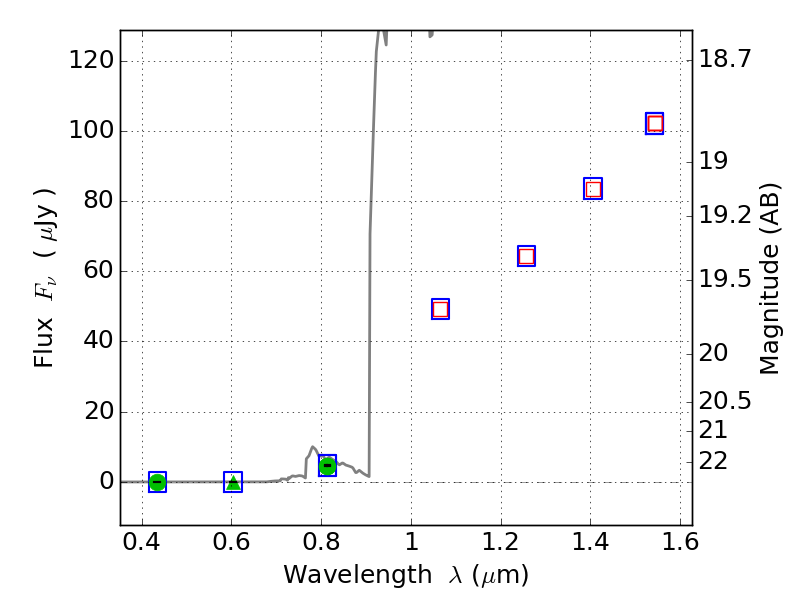
PLCKG138-10 ACS+IR detection object #3509

Color images and BPZ results
Catalog: 3509.cat
Black segments are analyzed here.   Roll mouse over color images to view segments.
Best viewed in a wide browser window (1200 pixels or more).   Download SED & P(z) plots to view larger versions.
In P(z) plots: Yellow lines mark the cluster redshift z = 0.702,  

Object #3509   x,y = (730, 2353)   RA, Dec = (02:27:16.992, 49:00:20.52) = (36.82080, 49.00570)   BPZ = 6.474 [6.218--8.287]   type = 6.00 (Sbc_B10)   chisq2 = 0.00   ODDS = 0.55   z_cluster = 0.702