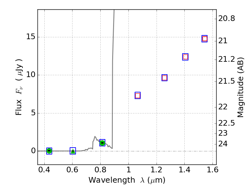
PLCKG138-10 ACS+IR detection object #2662

Color images and BPZ results
Catalog: 2662.cat
Black segments are analyzed here.   Roll mouse over color images to view segments.
Best viewed in a wide browser window (1200 pixels or more).   Download SED & P(z) plots to view larger versions.
In P(z) plots: Yellow lines mark the cluster redshift z = 0.702,  

Object #2662   x,y = (4263, 2802)   RA, Dec = (02:26:55.464, 49:00:47.52) = (36.73110, 49.01320)   BPZ = 6.276 [5.899--8.773]   type = 6.00 (Sbc_B10)   chisq2 = 0.00   ODDS = 0.41   z_cluster = 0.702