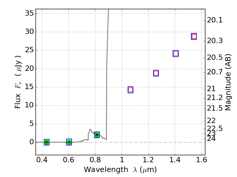
PLCKG138-10 ACS+IR detection object #2556

Color images and BPZ results
Catalog: 2556.cat
Black segments are analyzed here.   Roll mouse over color images to view segments.
Best viewed in a wide browser window (1200 pixels or more).   Download SED & P(z) plots to view larger versions.
In P(z) plots: Yellow lines mark the cluster redshift z = 0.702,  

Object #2556   x,y = (595, 2868)   RA, Dec = (02:27:17.832, 49:00:51.48) = (36.82430, 49.01430)   BPZ = 6.295 [5.968--8.542]   type = 6.00 (Sbc_B10)   chisq2 = 0.00   ODDS = 0.45   z_cluster = 0.702